Официальное опубликование правовых актов
ОФИЦИАЛЬНОЕ ОПУБЛИКОВАНИЕ
Приказ Департамента архитектуры и градостроительства Воронежской области от 01.02.2022 № 45-01-04/83
"О внесении изменений в правила землепользования и застройки Воробьёвского сельского поселения Воробьёвского муниципального района Воронежской области"
(Зарегистрирован 03.02.2022 № 53)
Номер опубликования: 3601202202070001
Дата опубликования: 07.02.2022
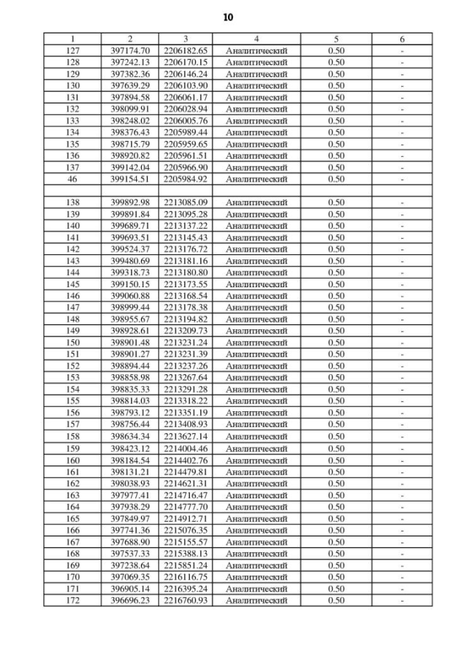
Страница №320 из 364:
Увеличить