Официальное опубликование правовых актов
ОФИЦИАЛЬНОЕ ОПУБЛИКОВАНИЕ
Приказ Департамента архитектуры и градостроительства Воронежской области от 14.01.2022 № 45-01-04/8
"О внесении изменений в правила землепользования и застройки Александро-Донского сельского поселения Павловского муниципального района Воронежской области"
(Зарегистрирован 27.01.2022 № 26)
Номер опубликования: 3601202201310008
Дата опубликования: 31.01.2022
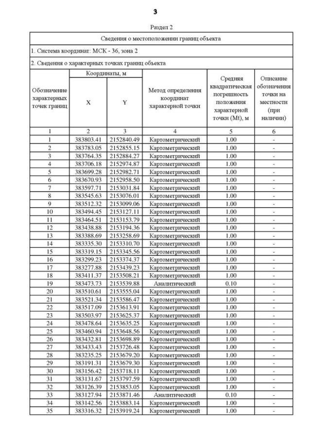
Страница №161 из 300:
Увеличить