Официальное опубликование правовых актов
ОФИЦИАЛЬНОЕ ОПУБЛИКОВАНИЕ
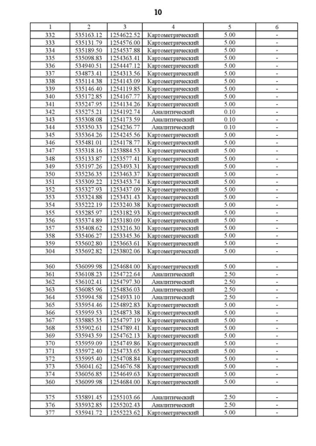
Приказ Департамента архитектуры и градостроительства Воронежской области от 14.01.2022 № 45-01-04/7
"О внесении изменений в правила землепользования и застройки Староведугского сельского поселения Семилукского муниципального района Воронежской области"
(Зарегистрирован 26.01.2022 № 21)
Номер опубликования: 3601202201310006
Дата опубликования: 31.01.2022
Страница №213 из 277:
Увеличить