Официальное опубликование правовых актов
ОФИЦИАЛЬНОЕ ОПУБЛИКОВАНИЕ
Приказ Департамента архитектуры и градостроительства Воронежской области от 17.12.2021 № 45-01-04/1344
"Об утверждении правил землепользования и застройки Новочигольского сельского поселения Таловского муниципального района Воронежской области"
(Зарегистрирован 14.01.2022 № 2003)
Номер опубликования: 3601202201180003
Дата опубликования: 18.01.2022
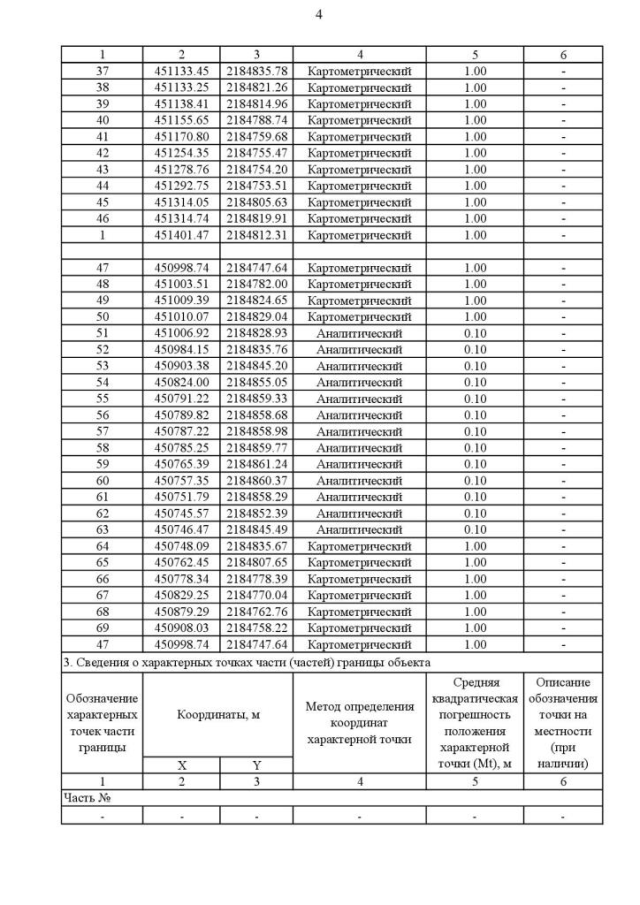
Страница №351 из 514:
Увеличить