Официальное опубликование правовых актов
ОФИЦИАЛЬНОЕ ОПУБЛИКОВАНИЕ
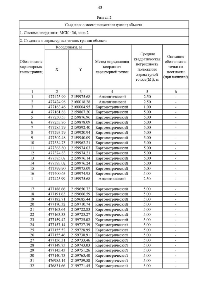
Приказ Департамента архитектуры и градостроительства Воронежской области от 16.12.2021 № 45-01-04/1339
"О внесении изменений в правила землепользования и застройки Берёзовского сельского поселения Аннинского муниципального района Воронежской области"
(Зарегистрирован 14.01.2022 № 1999)
Номер опубликования: 3601202201180001
Дата опубликования: 18.01.2022
Страница №93 из 218:
Увеличить