Официальное опубликование правовых актов
ОФИЦИАЛЬНОЕ ОПУБЛИКОВАНИЕ
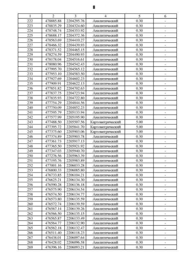
Приказ Департамента архитектуры и градостроительства Воронежской области от 14.12.2021 № 45-01-04/1332
"О внесении изменений в правила землепользования и застройки Новожизненского сельского поселения Аннинского муниципального района Воронежской области"
(Зарегистрирован 28.12.2021 № 1912)
Номер опубликования: 3601202112310006
Дата опубликования: 31.12.2021
Страница №205 из 240:
Увеличить