Официальное опубликование правовых актов
ОФИЦИАЛЬНОЕ ОПУБЛИКОВАНИЕ
Приказ Департамента архитектуры и градостроительства Воронежской области от 16.12.2021 № 45-01-04/1343
"О внесении изменений в правила землепользования и застройки Каменно-Верховского сельского поселения Каширского муниципального района Воронежской области"
(Зарегистрирован 28.12.2021 № 1908)
Номер опубликования: 3601202112310005
Дата опубликования: 31.12.2021
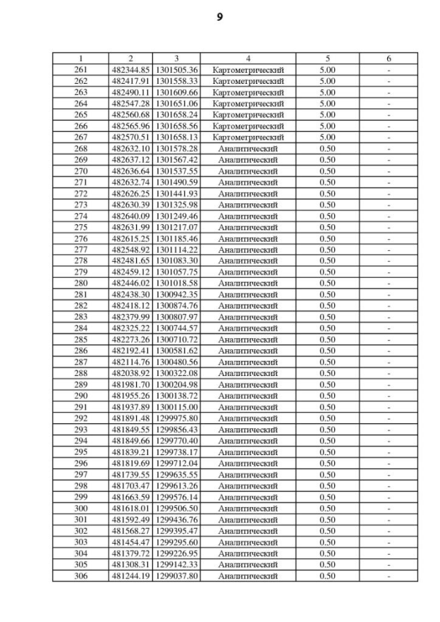
Страница №143 из 157:
Увеличить