Официальное опубликование правовых актов
ОФИЦИАЛЬНОЕ ОПУБЛИКОВАНИЕ
Приказ Департамента архитектуры и градостроительства Воронежской области от 14.12.2021 № 45-01-04/1334
"Об утверждении правил землепользования и застройки Посевкинского сельского поселения Грибановского муниципального района Воронежской области"
(Зарегистрирован 28.12.2021 № 1909)
Номер опубликования: 3601202112310003
Дата опубликования: 31.12.2021
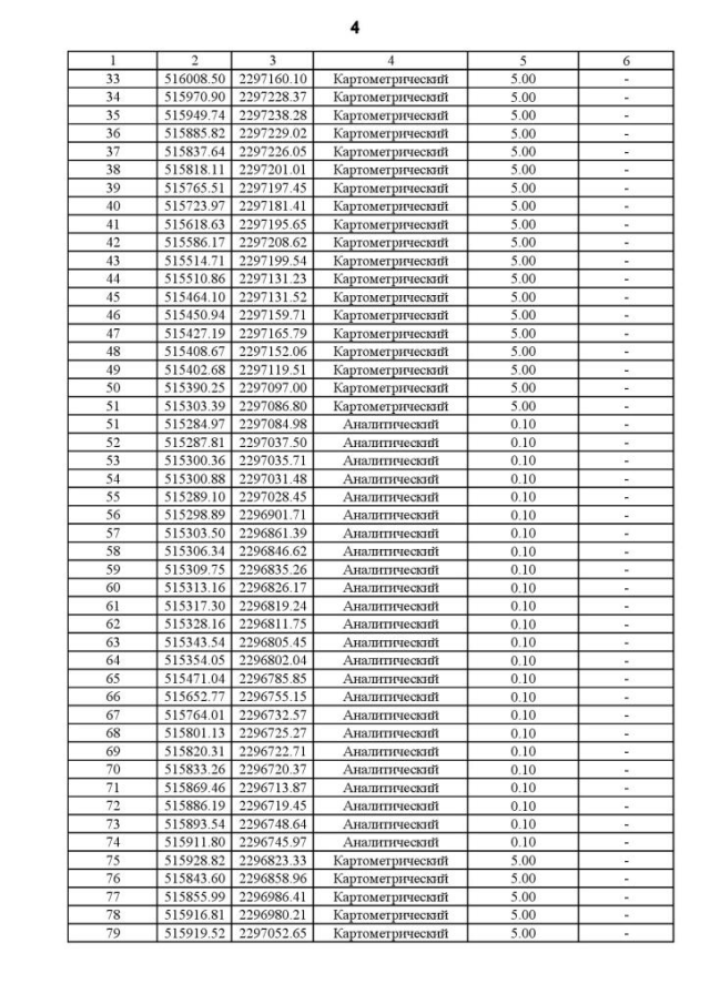
Страница №228 из 278:
Увеличить