Официальное опубликование правовых актов
ОФИЦИАЛЬНОЕ ОПУБЛИКОВАНИЕ
Приказ Департамента архитектуры и градостроительства Воронежской области от 16.12.2021 № 45-01-04/1342
"О внесении изменений в правила землепользования и застройки Чесменского сельского поселения Бобровского муниципального района Воронежской области"
(Зарегистрирован 28.12.2021 № 1911)
Номер опубликования: 3601202112310002
Дата опубликования: 31.12.2021
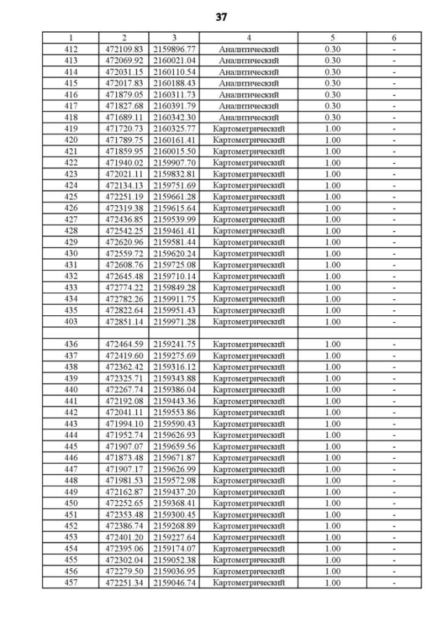
Страница №82 из 124:
Увеличить