Официальное опубликование правовых актов
ОФИЦИАЛЬНОЕ ОПУБЛИКОВАНИЕ
Приказ департамента природных ресурсов и экологии Воронежской области от 30.11.2021 № 510
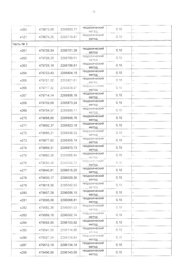
"Об установлении зон санитарной охраны четырех существующих водозаборных скважин №№ 21670, 443, 35548, 501 с водопроводными сооружениями для питьевого, хозяйственно-бытового водоснабжения ФКУ ИК-9 УФСИН России по Воронежской области"
(Зарегистрирован 24.12.2021 № 1897)
Номер опубликования: 3601202112290012
Дата опубликования: 29.12.2021
Страница №38 из 54:
Увеличить