Официальное опубликование правовых актов
ОФИЦИАЛЬНОЕ ОПУБЛИКОВАНИЕ
Приказ Департамента архитектуры и градостроительства Воронежской области от 14.12.2021 № 45-01-04/1330
"Об утверждении правил землепользования и застройки Каширского сельского поселения Каширского муниципального района Воронежской области"
(Зарегистрирован 28.12.2021 № 1913)
Номер опубликования: 3601202112290004
Дата опубликования: 29.12.2021
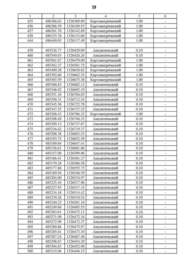
Страница №83 из 319:
Увеличить