Официальное опубликование правовых актов
ОФИЦИАЛЬНОЕ ОПУБЛИКОВАНИЕ
Приказ Департамента государственного регулирования тарифов Воронежской области от 20.12.2021 № 73/30
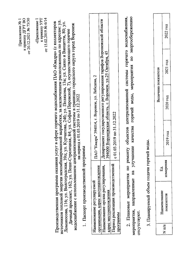
"О внесении изменений в приказ УРТ от 15.02.2019 № 6/14 "Об установлении долгосрочных параметров регулирования деятельности и установлении тарифов на горячую воду (горячее водоснабжение) для ПАО "Квадра" (с коллекторов источников тепловой энергии некомбинированной выработки, за исключением расположенных по адресам: ул. Ломоносова, 116; ул. Волгоградская, 39л; ул. Курчатова, 24б; ул. Полякова, 13а; ул. Сакко и Ванцетти, 80; ул. Дачный проспект, 162; ул. Пеше-Стрелецкая, 84; ул. Софьи Перовской, 7), осуществляющего горячее водоснабжение с использованием централизованной системы в границах городского округа город Воронеж, на период 2019 - 2022 годов"
(Зарегистрирован 21.12.2021 № 1875)
Номер опубликования: 3601202112220087
Дата опубликования: 22.12.2021
Страница №3 из 9:
Увеличить