Официальное опубликование правовых актов
ОФИЦИАЛЬНОЕ ОПУБЛИКОВАНИЕ
Приказ Департамента архитектуры и градостроительства Воронежской области от 07.12.2021 № 45-01-04/1313
"О внесении изменений в правила землепользования и застройки Новокурлакского сельского поселения Аннинского муниципального района Воронежской области"
(Зарегистрирован 18.12.2021 № 1699)
Номер опубликования: 3601202112220068
Дата опубликования: 22.12.2021
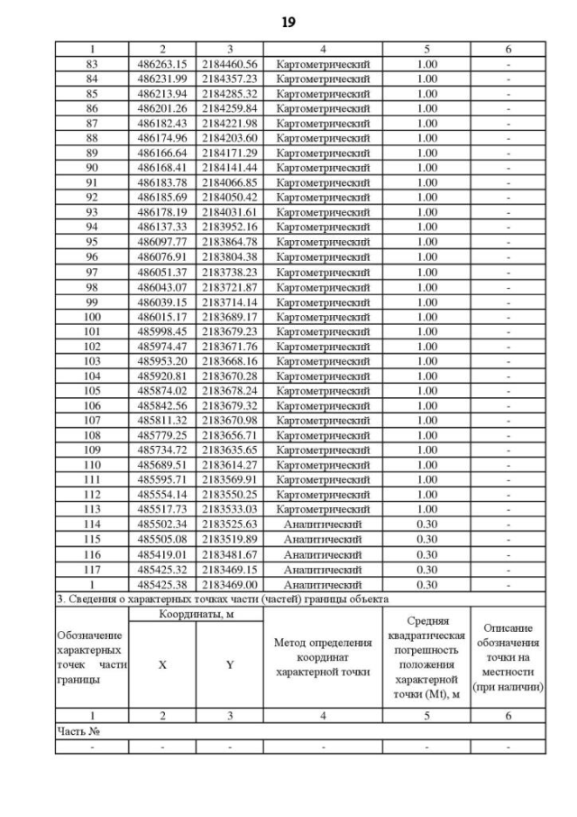
Страница №140 из 177:
Увеличить