Официальное опубликование правовых актов
ОФИЦИАЛЬНОЕ ОПУБЛИКОВАНИЕ
Приказ Департамента государственного регулирования тарифов Воронежской области от 14.12.2021 № 69/87
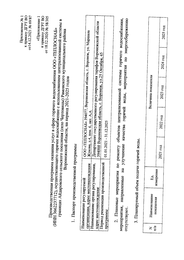
"О внесении изменения в приказ ДГРТ ВО от 18.12.2020 № 58/305 "Об установлении долгосрочных параметров регулирования деятельности и установлении тарифов на горячую воду (горячее водоснабжение) для ООО "ТЕПЛОСНАБ" (ИНН 3662237712), осуществляющего горячее водоснабжение с использованием централизованной системы в границах Айдаровского сельского поселения (село Чертовицы) Рамонского муниципального района Воронежской области, на период 2021-2025 годов"
(Зарегистрирован 21.12.2021 № 1810)
Номер опубликования: 3601202112220029
Дата опубликования: 22.12.2021
Страница №3 из 7:
Увеличить