Приказ Департамента государственного регулирования тарифов Воронежской области от 14.12.2021 № 69/56
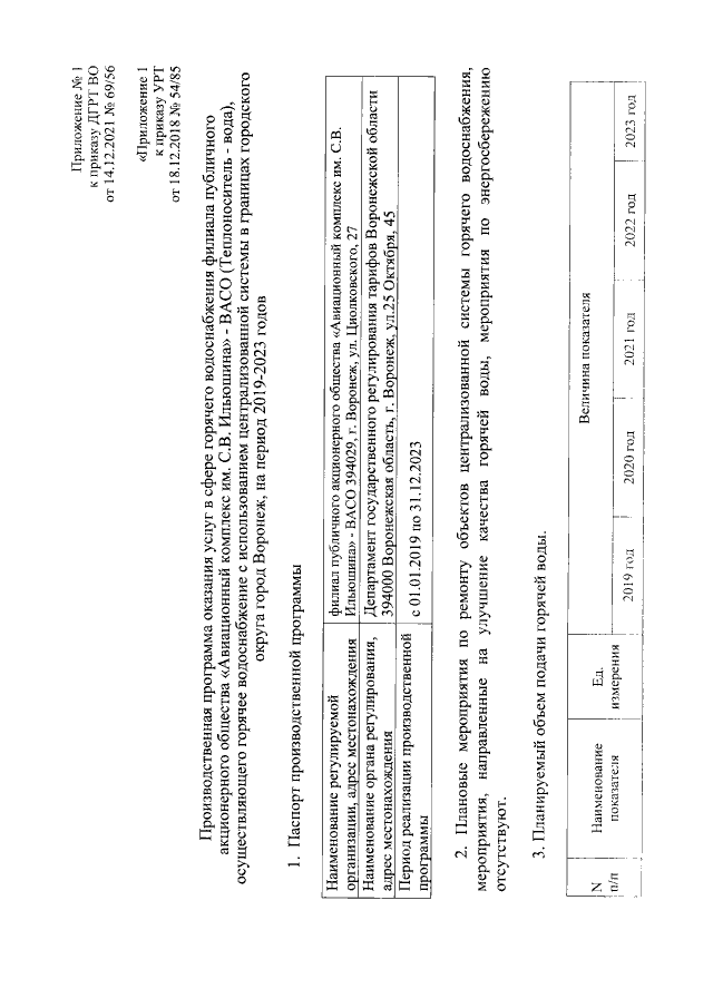
"О внесении изменений в приказ УРТ от 18.12.2018 № 54/85 "Об установлении долгосрочных параметров регулирования деятельности и установлении тарифов на горячую воду (горячее водоснабжение) для ПАО "ВАСО" (Теплоноситель - вода), осуществляющего горячее водоснабжение с использованием централизованной системы в границах городского округа город Воронеж, на период 2019-2023 годов"
(Зарегистрирован 21.12.2021 № 1835)
"О внесении изменений в приказ УРТ от 18.12.2018 № 54/85 "Об установлении долгосрочных параметров регулирования деятельности и установлении тарифов на горячую воду (горячее водоснабжение) для ПАО "ВАСО" (Теплоноситель - вода), осуществляющего горячее водоснабжение с использованием централизованной системы в границах городского округа город Воронеж, на период 2019-2023 годов"
(Зарегистрирован 21.12.2021 № 1835)
Номер опубликования: 3601202112220022
Дата опубликования:
22.12.2021
