Приказ Департамента государственного регулирования тарифов Воронежской области от 14.12.2021 № 69/71
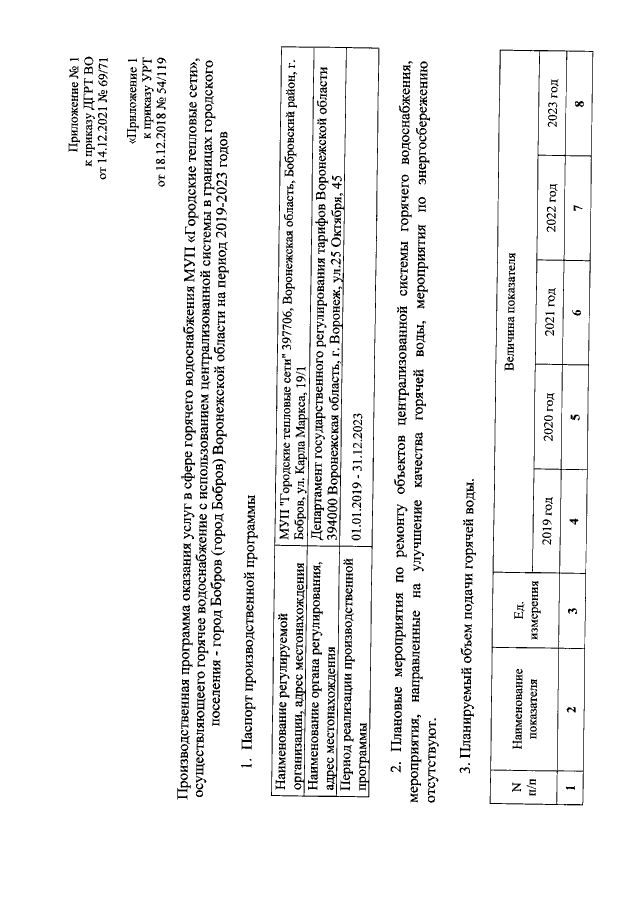
"О внесении изменений в приказ УРТ от 18.12.2018 № 54/119 "Об установлении долгосрочных параметров регулирования деятельности и установлении тарифов на горячую воду (горячее водоснабжение) для МУП "Городские тепловые сети", осуществляющего горячее водоснабжение в границах городского поселения - город Бобров (город Бобров) Воронежской области, на период 2019-2023 годов"
(Зарегистрирован 21.12.2021 № 1807)
"О внесении изменений в приказ УРТ от 18.12.2018 № 54/119 "Об установлении долгосрочных параметров регулирования деятельности и установлении тарифов на горячую воду (горячее водоснабжение) для МУП "Городские тепловые сети", осуществляющего горячее водоснабжение в границах городского поселения - город Бобров (город Бобров) Воронежской области, на период 2019-2023 годов"
(Зарегистрирован 21.12.2021 № 1807)
Номер опубликования: 3601202112220020
Дата опубликования:
22.12.2021
