Приказ Департамента государственного регулирования тарифов Воронежской области от 07.12.2021 № 66/57
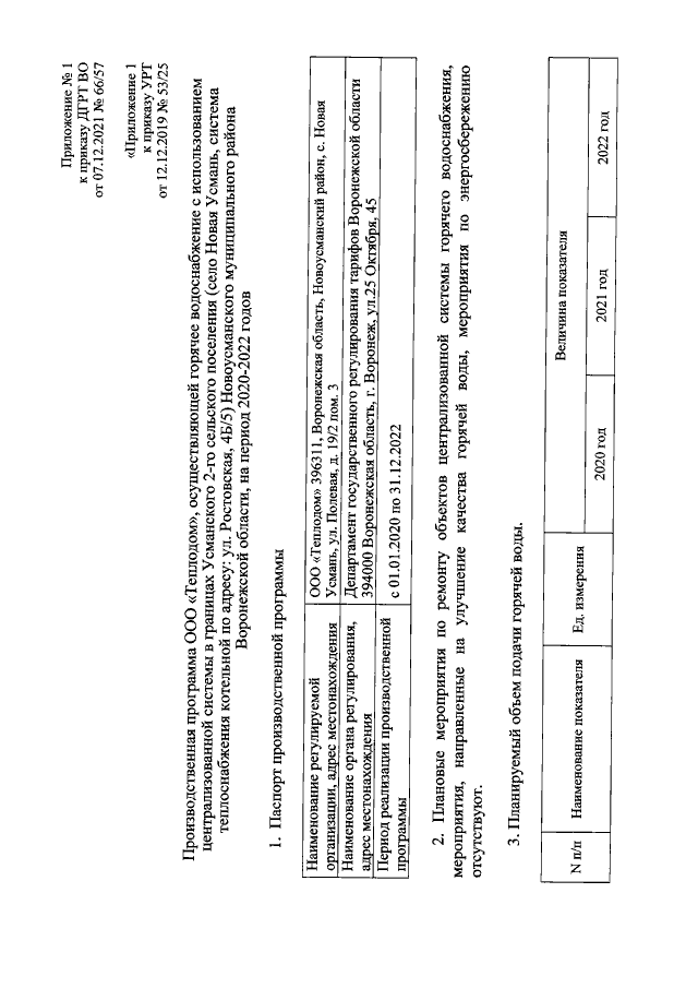
"О внесении изменения в приказ УРТ от 12.12.2019 № 53/25 "Об установлении долгосрочных параметров регулирования деятельности и установлении тарифов на горячую воду (горячее водоснабжение) для ООО "Теплодом", осуществляющего горячее водоснабжение с использованием централизованной системы в границах Усманского 2-го сельского поселения (село Новая Усмань, система теплоснабжения котельной по адресу: ул. Ростовская, 4Б/5) Новоусманского муниципального района Воронежской области, на период 2020-2022 годов"
(Зарегистрирован 14.12.2021 № 1496)
"О внесении изменения в приказ УРТ от 12.12.2019 № 53/25 "Об установлении долгосрочных параметров регулирования деятельности и установлении тарифов на горячую воду (горячее водоснабжение) для ООО "Теплодом", осуществляющего горячее водоснабжение с использованием централизованной системы в границах Усманского 2-го сельского поселения (село Новая Усмань, система теплоснабжения котельной по адресу: ул. Ростовская, 4Б/5) Новоусманского муниципального района Воронежской области, на период 2020-2022 годов"
(Зарегистрирован 14.12.2021 № 1496)
Номер опубликования: 3601202112220008
Дата опубликования:
22.12.2021
