Официальное опубликование правовых актов
ОФИЦИАЛЬНОЕ ОПУБЛИКОВАНИЕ
Приказ Департамента архитектуры и градостроительства Воронежской области от 02.12.2021 № 45-01-04/1287
"Об утверждении правил землепользования и застройки Русановского сельского поселения Терновского муниципального района Воронежской области"
(Зарегистрирован 15.12.2021 № 1552)
Номер опубликования: 3601202112210213
Дата опубликования: 21.12.2021
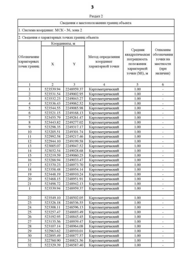
Страница №118 из 168:
Увеличить