Приказ Департамента государственного регулирования тарифов Воронежской области от 14.12.2021 № 69/80
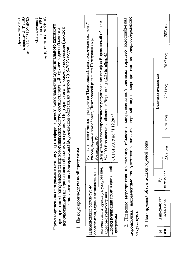
"О внесении изменений в приказ УРТ от 18.12.2018 № 54/103 "Об установлении долгосрочных параметров регулирования деятельности и тарифов на горячую воду (горячее водоснабжение) для муниципального казенного предприятия "Подгоренский центр коммунальных услуг", осуществляющего горячее водоснабжение с использованием централизованной системы в границах Подгоренского городского поселения (поселок городского типа Подгоренский) Воронежской области, на период 2019-2023 годов"
(Зарегистрирован 18.12.2021 № 1771)
"О внесении изменений в приказ УРТ от 18.12.2018 № 54/103 "Об установлении долгосрочных параметров регулирования деятельности и тарифов на горячую воду (горячее водоснабжение) для муниципального казенного предприятия "Подгоренский центр коммунальных услуг", осуществляющего горячее водоснабжение с использованием централизованной системы в границах Подгоренского городского поселения (поселок городского типа Подгоренский) Воронежской области, на период 2019-2023 годов"
(Зарегистрирован 18.12.2021 № 1771)
Номер опубликования: 3601202112210191
Дата опубликования:
21.12.2021
