Официальное опубликование правовых актов
ОФИЦИАЛЬНОЕ ОПУБЛИКОВАНИЕ
Приказ Департамента государственного регулирования тарифов Воронежской области от 14.12.2021 № 69/65
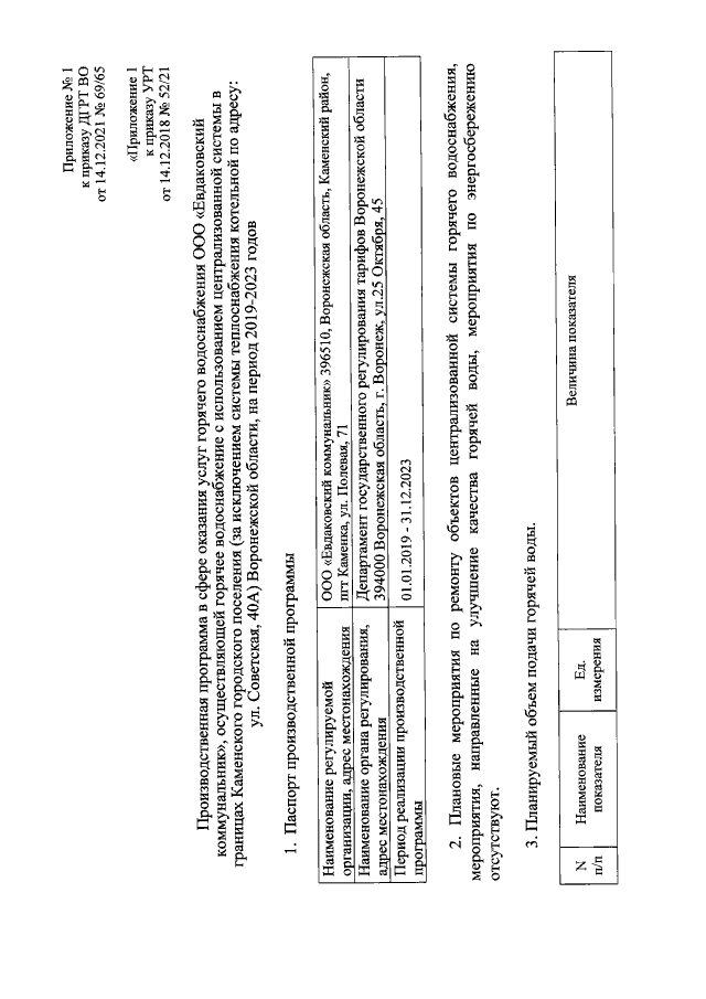
"О внесении изменения в приказ УРТ от 14.12.2018 № 52/21 "Об установлении долгосрочных параметров регулирования деятельности и тарифов на горячую воду (горячее водоснабжение) для ООО "Евдаковский коммунальник", осуществляющего горячее водоснабжение с использованием централизованной системы в границах Каменского городского поселения (за исключением системы теплоснабжения котельной по адресу: ул. Советская, 40А) Воронежской области, на период 2019-2023 годов"
(Зарегистрирован 17.12.2021 № 1633)
Номер опубликования: 3601202112210059
Дата опубликования: 21.12.2021
Страница №3 из 7:
Увеличить