Официальное опубликование правовых актов
ОФИЦИАЛЬНОЕ ОПУБЛИКОВАНИЕ
Приказ Департамента архитектуры и градостроительства Воронежской области от 01.12.2021 № 45-01-04/1275
"О внесении изменений в правила землепользования и застройки Залуженского сельского поселения Лискинского муниципального района Воронежской области"
(Зарегистрирован 15.12.2021 № 1553)
Номер опубликования: 3601202112170056
Дата опубликования: 17.12.2021
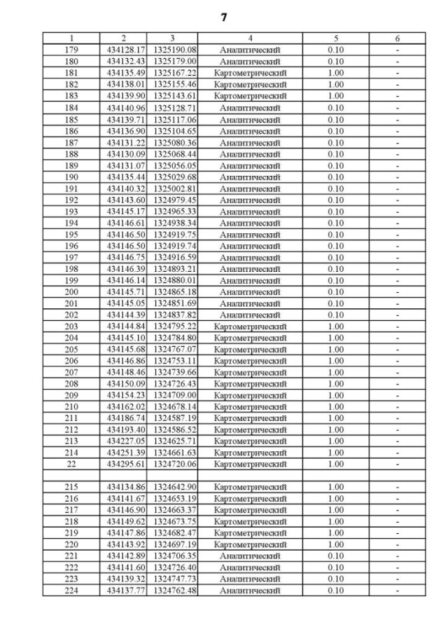
Страница №129 из 210:
Увеличить