Официальное опубликование правовых актов
ОФИЦИАЛЬНОЕ ОПУБЛИКОВАНИЕ
Приказ Департамента архитектуры и градостроительства Воронежской области от 02.12.2021 № 45-01-04/1288
"О внесении изменений в правила землепользования и застройки Селявинского сельского поселения Лискинского муниципального района Воронежской области"
(Зарегистрирован 15.12.2021 № 1551)
Номер опубликования: 3601202112170033
Дата опубликования: 17.12.2021
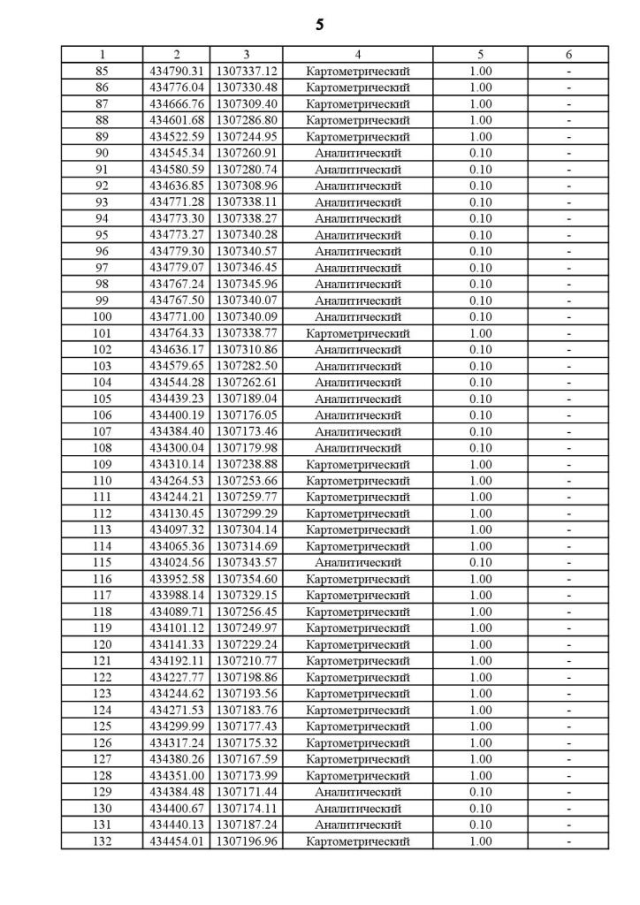
Страница №90 из 154:
Увеличить