Официальное опубликование правовых актов
ОФИЦИАЛЬНОЕ ОПУБЛИКОВАНИЕ
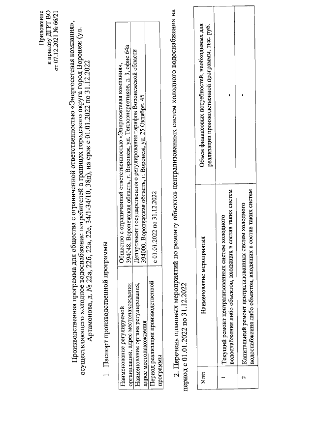
Приказ Департамента государственного регулирования тарифов Воронежской области от 07.12.2021 № 66/21
"Об установлении тарифов на транспортировку воды для общества с ограниченной ответственностью "Энергосетевая компания", осуществляющего холодное водоснабжение потребителей в границах городского округа город Воронеж (ул. Артамонова, д. № 22а, 22б, 22в, 22е, 34/1-34/10, 38д), на 2022 год"
(Зарегистрирован 15.12.2021 № 1542)
Номер опубликования: 3601202112170010
Дата опубликования: 17.12.2021
Страница №3 из 6:
Увеличить