Официальное опубликование правовых актов
ОФИЦИАЛЬНОЕ ОПУБЛИКОВАНИЕ
Приказ Департамента архитектуры и градостроительства Воронежской области от 01.12.2021 № 45-01-04/1270
"О внесении изменений в правила землепользования и застройки Воронежского сельского поселения Новоусманского муниципального района Воронежской области"
(Зарегистрирован 08.12.2021 № 1429)
Номер опубликования: 3601202112140012
Дата опубликования: 14.12.2021
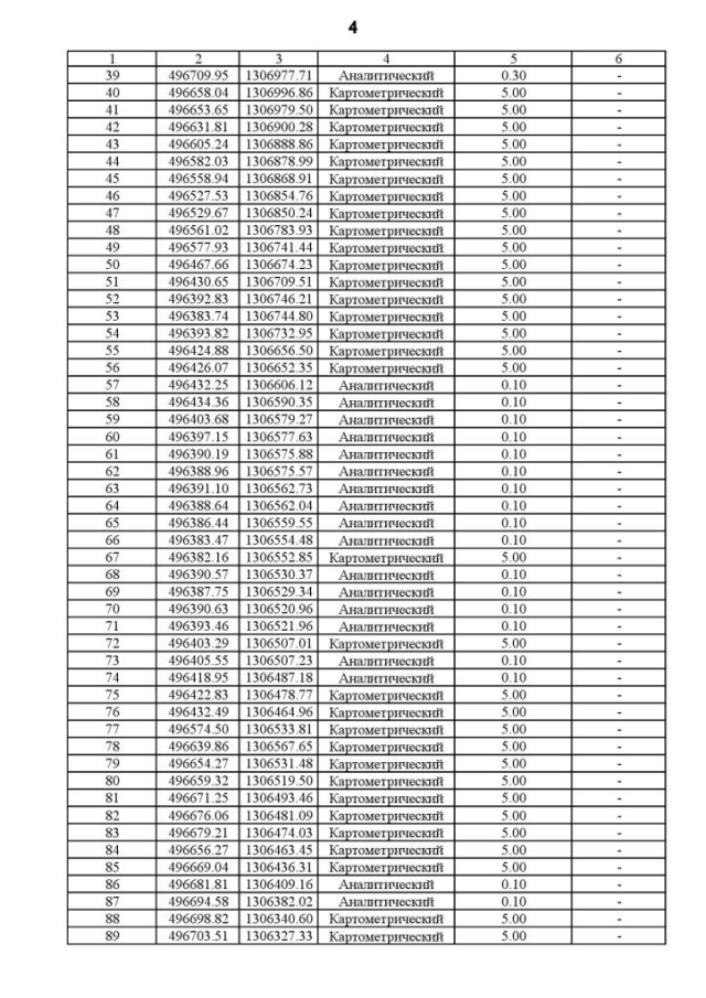
Страница №64 из 131:
Увеличить