Официальное опубликование правовых актов
ОФИЦИАЛЬНОЕ ОПУБЛИКОВАНИЕ
Приказ Департамента архитектуры и градостроительства Воронежской области от 01.12.2021 № 45-01-04/1285
"О внесении изменений в правила землепользования и застройки Горожанского сельского поселения Рамонского муниципального района Воронежской области"
(Зарегистрирован 08.12.2021 № 1428)
Номер опубликования: 3601202112140002
Дата опубликования: 14.12.2021
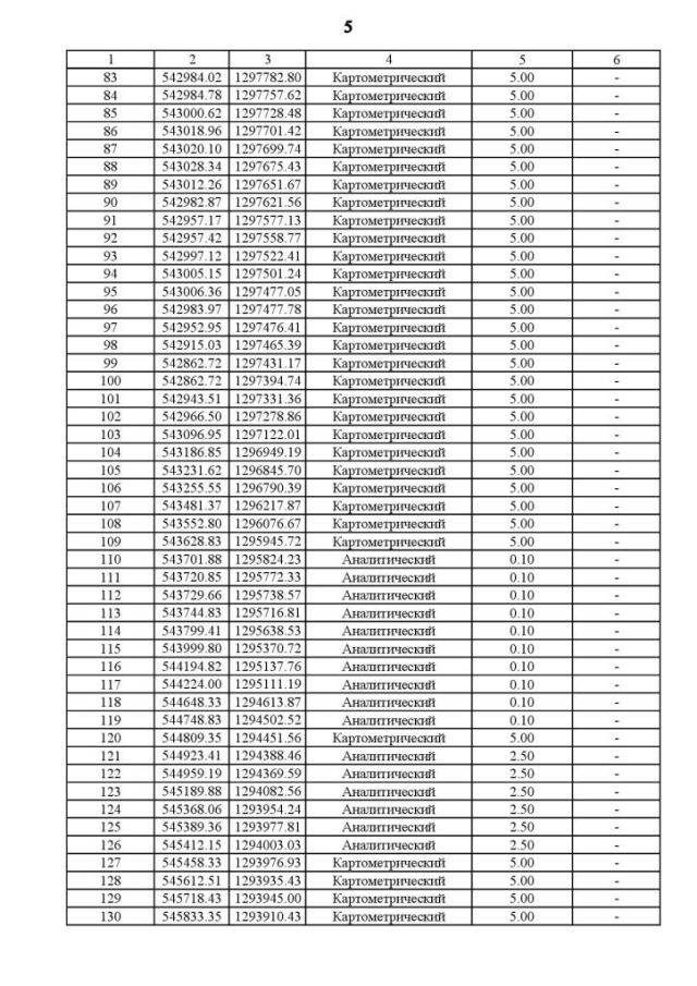
Страница №170 из 276:
Увеличить