Официальное опубликование правовых актов
ОФИЦИАЛЬНОЕ ОПУБЛИКОВАНИЕ
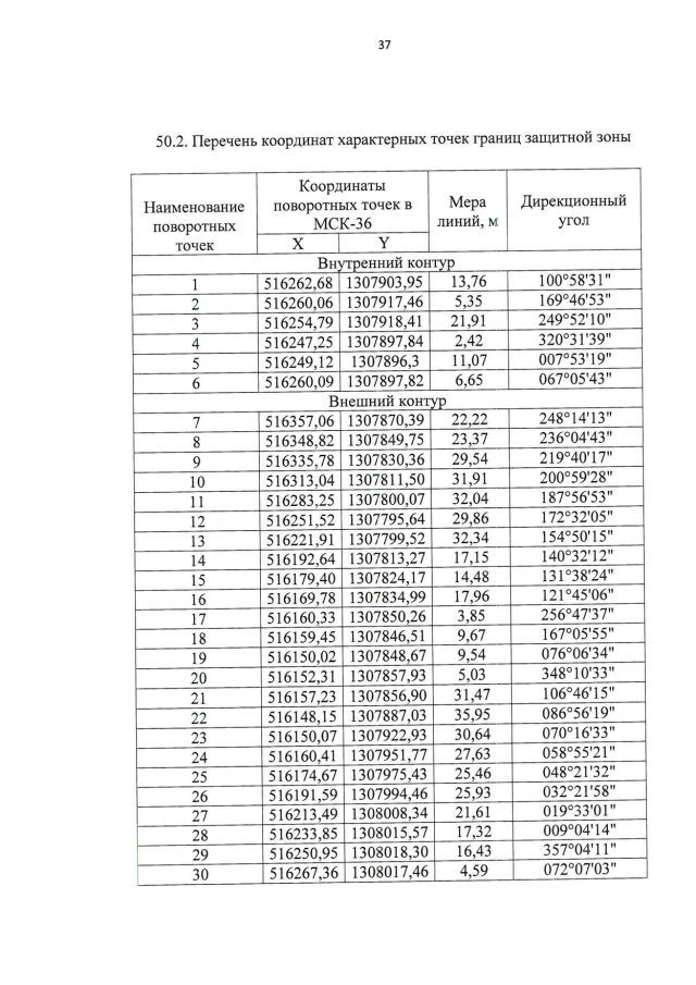
Приказ управления по охране объектов культурного наследия Воронежской области от 30.11.2021 № 71-01-07/441
"О внесении изменений в приказ управления по охране объектов культурного наследия Воронежской области от 26.10.2018 № 71-01-07/228"
(Зарегистрирован 09.12.2021 № 1460)
Номер опубликования: 3601202112130003
Дата опубликования: 13.12.2021
Страница №37 из 98:
Увеличить