Официальное опубликование правовых актов
ОФИЦИАЛЬНОЕ ОПУБЛИКОВАНИЕ
Приказ Департамента государственного регулирования тарифов Воронежской области от 30.11.2021 № 63/3
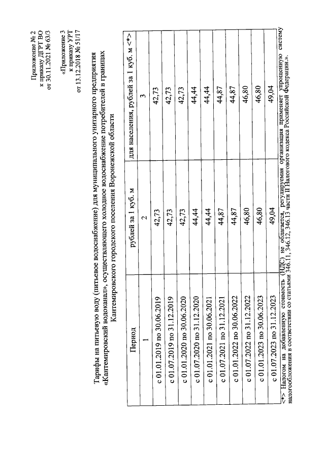
"О внесении изменений в приказ УРТ от 13.12.2018 № 51/17 "Об установлении долгосрочных параметров регулирования деятельности и тарифов на питьевую воду (питьевое водоснабжение) для муниципального унитарного предприятия "Кантемировский водоканал", осуществляющего холодное водоснабжение потребителей в границах Кантемировского городского поселения Воронежской области, на период 2019-2023 годов"
(Зарегистрирован 07.12.2021 № 1382)
Номер опубликования: 3601202112090039
Дата опубликования: 09.12.2021
Страница №8 из 8:
Увеличить