Официальное опубликование правовых актов
ОФИЦИАЛЬНОЕ ОПУБЛИКОВАНИЕ
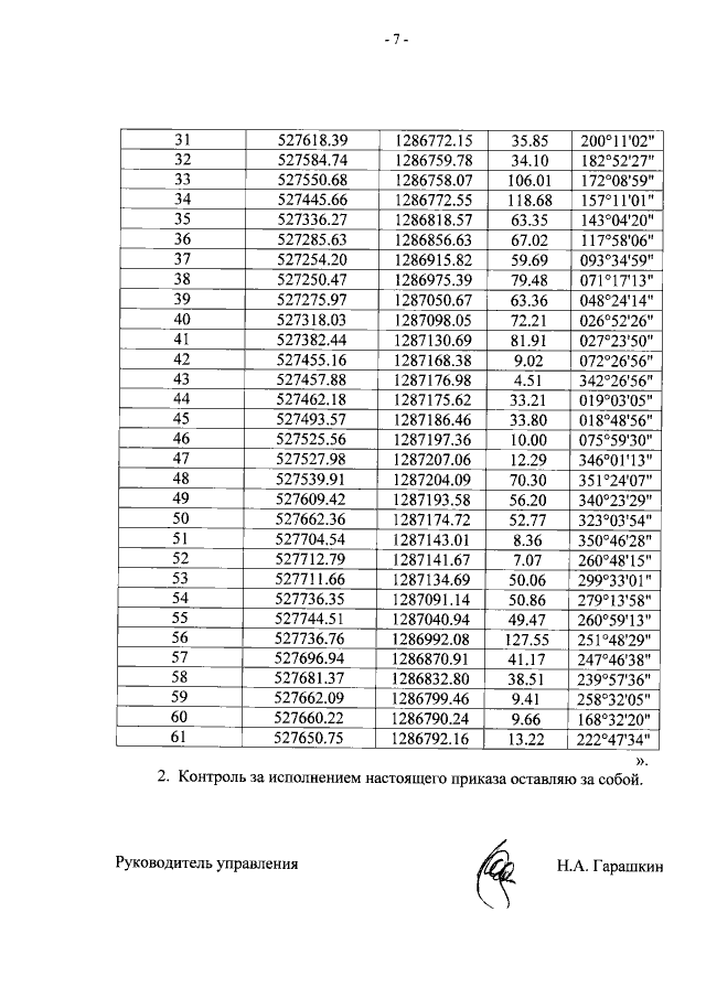
Приказ управления по охране объектов культурного наследия Воронежской области от 30.11.2021 № 71-01-07/442
"О внесении изменений в приказ управления по охране объектов культурного наследия Воронежской области от 19.11.2019 №71-01-07/298"
(Зарегистрирован 03.12.2021 № 1362)
Номер опубликования: 3601202112080003
Дата опубликования: 08.12.2021
Страница №7 из 7:
Увеличить