Официальное опубликование правовых актов
ОФИЦИАЛЬНОЕ ОПУБЛИКОВАНИЕ
Приказ управления по охране объектов культурного наследия Воронежской области от 30.11.2021 № 71-01-07/443
"О внесении изменений в приказ управления по охране объектов культурного наследия Воронежской области от 10.09.2019 №71-01-07/218"
(Зарегистрирован 03.12.2021 № 1361)
Номер опубликования: 3601202112080002
Дата опубликования: 08.12.2021
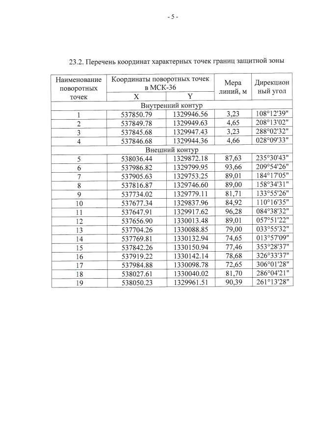
Страница №5 из 17:
Увеличить