Официальное опубликование правовых актов
ОФИЦИАЛЬНОЕ ОПУБЛИКОВАНИЕ
Приказ Департамента государственного регулирования тарифов Воронежской области от 18.11.2021 № 60/21
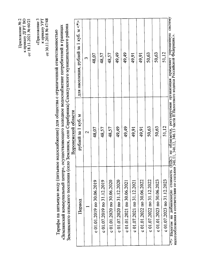
"О внесении изменений в приказ УРТ от 30.11.2018 № 47/48 "Об установлении долгосрочных параметров регулирования деятельности и тарифов на питьевую воду (питьевое водоснабжение) для общества с ограниченной ответственностью "Землянский коммунальный центр", осуществляющего холодное водоснабжение потребителей в границах Землянского сельского поселения (село Землянск, село Серебрянка) Семилукского муниципального района Воронежской области, на период 2019-2023 годов"
(Зарегистрирован 26.11.2021 № 1241)
Номер опубликования: 3601202111290005
Дата опубликования: 29.11.2021
Страница №8 из 8:
Увеличить