Официальное опубликование правовых актов
ОФИЦИАЛЬНОЕ ОПУБЛИКОВАНИЕ
Приказ Департамента архитектуры и градостроительства Воронежской области от 20.10.2021 № 45-01-04/1179
"Об утверждении правил землепользования и застройки Плясоватского сельского поселения Верхнехавского муниципального района Воронежской области"
(Зарегистрирован 18.11.2021 № 1103)
Номер опубликования: 3601202111260010
Дата опубликования: 26.11.2021
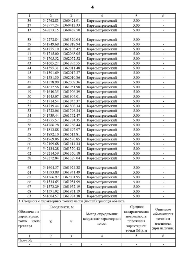
Страница №82 из 104:
Увеличить