Официальное опубликование правовых актов
ОФИЦИАЛЬНОЕ ОПУБЛИКОВАНИЕ
Приказ Департамента государственного регулирования тарифов Воронежской области от 12.11.2021 № 58/27
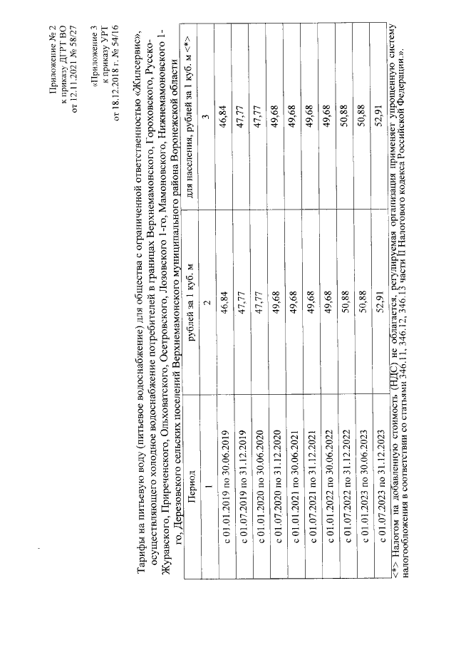
"О внесении изменений в приказ УРТ от 18.12.2018 № 54/16 "Об установлении долгосрочных параметров регулирования деятельности и тарифов на питьевую воду (питьевое водоснабжение) для общества с ограниченного ответственностью "Жилсервис", осуществляющего холодное водоснабжение потребителей в границах Верхнемамонского, Гороховского, Русско-Журавского, Приреченского, Ольховатского, Осетровского, Лозовского 1-го, Мамоновского, Нижнемамоновского 1-го, Дерезовского сельских поселений Верхнемамонского муниципального района Воронежской области, на период 2019-2023 годов"
(Зарегистрирован 23.11.2021 № 1156)
Номер опубликования: 3601202111240012
Дата опубликования: 24.11.2021
Страница №8 из 8:
Увеличить