Официальное опубликование правовых актов
ОФИЦИАЛЬНОЕ ОПУБЛИКОВАНИЕ
Приказ Департамента архитектуры и градостроительства Воронежской области от 10.11.2021 № 45-01-04/1222
"Об утверждении правил землепользования и застройки городского поселения – город Калач Калачеевского муниципального района Воронежской области"
(Зарегистрирован 18.11.2021 № 1113)
Номер опубликования: 3601202111240004
Дата опубликования: 24.11.2021
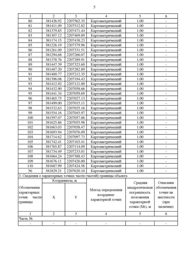
Страница №368 из 471:
Увеличить