Официальное опубликование правовых актов
ОФИЦИАЛЬНОЕ ОПУБЛИКОВАНИЕ
Приказ Департамента архитектуры и градостроительства Воронежской области от 29.10.2021 № 45-01-04/1214
"Об утверждении правил землепользования и застройки Карпенковского сельского поселения Каменского муниципального района Воронежской области"
(Зарегистрирован 18.11.2021 № 1111)
Номер опубликования: 3601202111230033
Дата опубликования: 23.11.2021
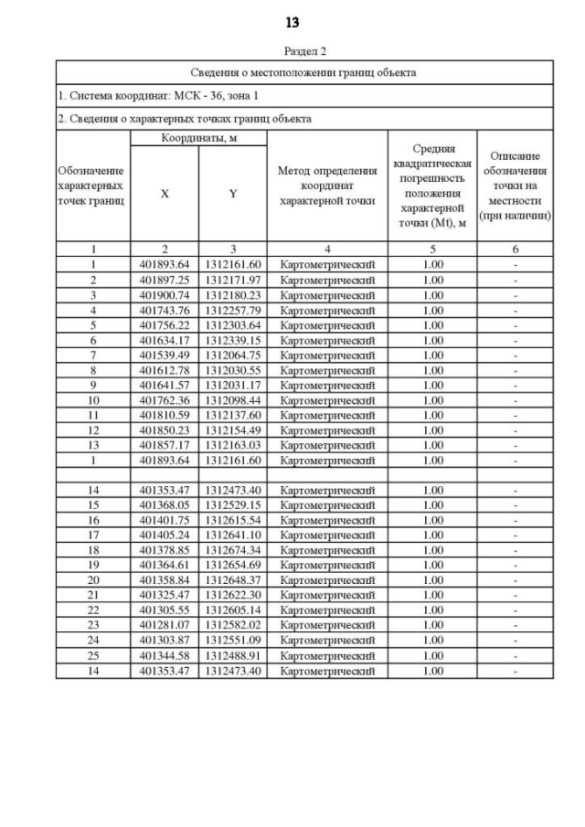
Страница №101 из 239:
Увеличить