Официальное опубликование правовых актов
ОФИЦИАЛЬНОЕ ОПУБЛИКОВАНИЕ
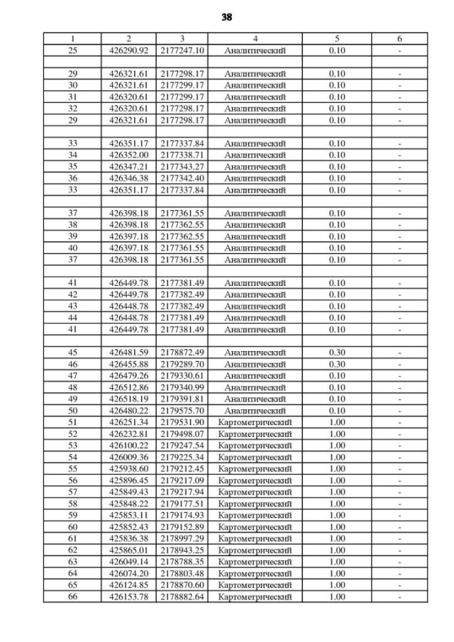
Приказ Департамента архитектуры и градостроительства Воронежской области от 29.10.2021 № 45-01-04/1219
"Об утверждении правил землепользования и застройки Козловского сельского поселения Бутурлиновского муниципального района Воронежской области"
(Зарегистрирован 18.11.2021 № 1112)
Номер опубликования: 3601202111230031
Дата опубликования: 23.11.2021
Страница №89 из 198:
Увеличить