Официальное опубликование правовых актов
ОФИЦИАЛЬНОЕ ОПУБЛИКОВАНИЕ
Приказ Департамента архитектуры и градостроительства Воронежской области от 22.10.2021 № 45-01-04/1184
"Об утверждении правил землепользования и застройки Нижнекатуховского сельского поселения Новоусманского муниципального района Воронежской области"
(Зарегистрирован 18.11.2021 № 1104)
Номер опубликования: 3601202111230029
Дата опубликования: 23.11.2021
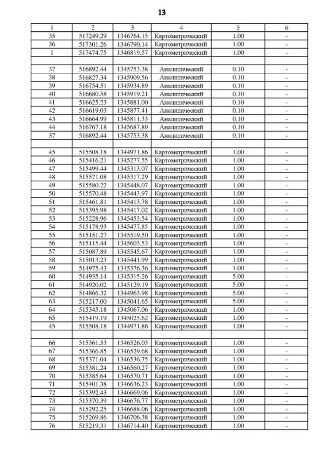
Страница №126 из 137:
Увеличить