Официальное опубликование правовых актов
ОФИЦИАЛЬНОЕ ОПУБЛИКОВАНИЕ
Приказ Департамента архитектуры и градостроительства Воронежской области от 20.10.2021 № 45-01-04/1180
"Об утверждении правил землепользования и застройки Алексеевского сельского поселения Грибановского муниципального района Воронежской области"
(Зарегистрирован 18.11.2021 № 1105)
Номер опубликования: 3601202111230028
Дата опубликования: 23.11.2021
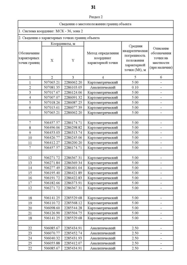
Страница №81 из 155:
Увеличить