Официальное опубликование правовых актов
ОФИЦИАЛЬНОЕ ОПУБЛИКОВАНИЕ
Приказ Департамента архитектуры и градостроительства Воронежской области от 22.10.2021 № 45-01-04/1187
"Об утверждении правил землепользования и застройки Новомакаровского сельского поселения Грибановского муниципального района Воронежской области"
(Зарегистрирован 18.11.2021 № 1101)
Номер опубликования: 3601202111230027
Дата опубликования: 23.11.2021
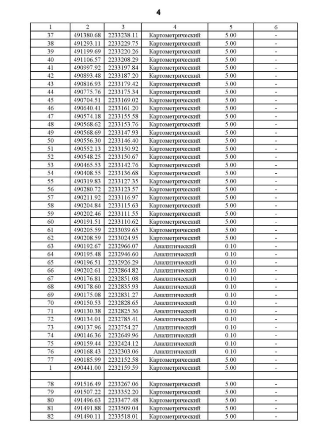
Страница №53 из 140:
Увеличить