Официальное опубликование правовых актов
ОФИЦИАЛЬНОЕ ОПУБЛИКОВАНИЕ
Приказ Департамента архитектуры и градостроительства Воронежской области от 20.10.2021 № 45-01-04/1177
"Об утверждении правил землепользования и застройки Краснореченского сельского поселения Грибановского муниципального района Воронежской области"
(Зарегистрирован 18.11.2021 № 1102)
Номер опубликования: 3601202111230026
Дата опубликования: 23.11.2021
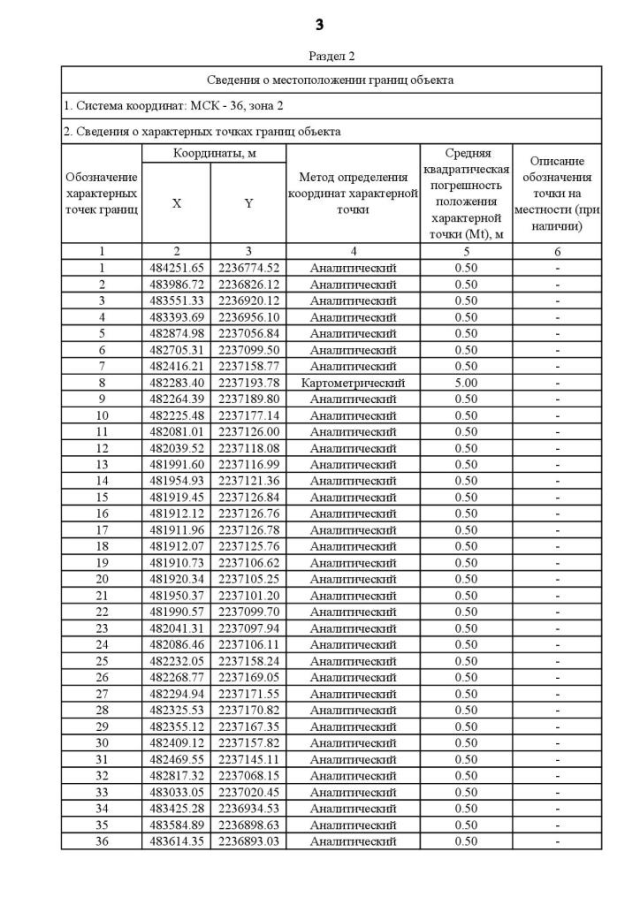
Страница №104 из 108:
Увеличить