Официальное опубликование правовых актов
ОФИЦИАЛЬНОЕ ОПУБЛИКОВАНИЕ
Приказ департамента природных ресурсов и экологии Воронежской области от 10.11.2021 № 489
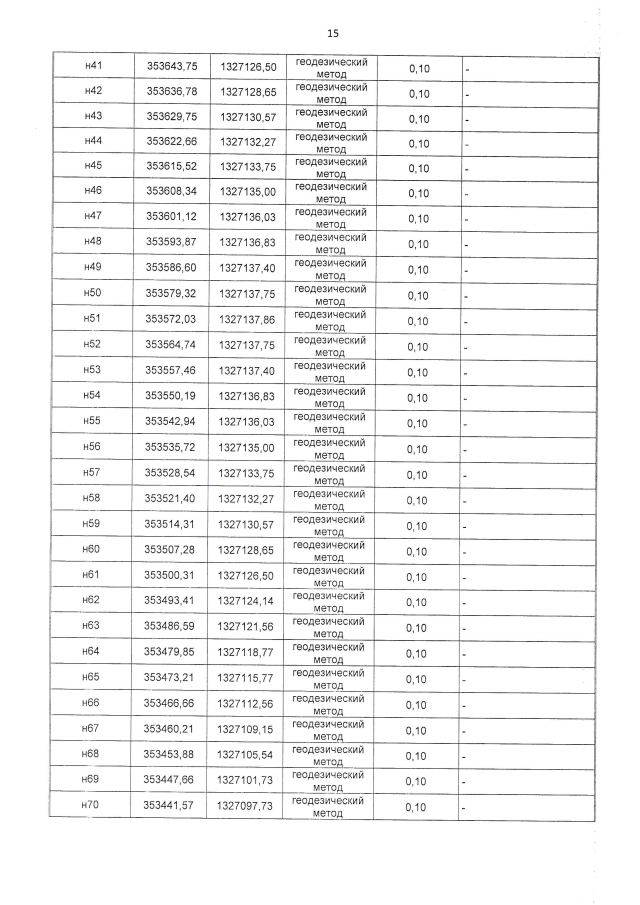
"Об установлении зоны санитарной охраны существующей скважины № 4739/20 для питьевого и хозяйственно-бытового водоснабжения ООО "РКС"
(Зарегистрирован 19.11.2021 № 1118)
Номер опубликования: 3601202111230025
Дата опубликования: 23.11.2021
Страница №17 из 24:
Увеличить