Официальное опубликование правовых актов
ОФИЦИАЛЬНОЕ ОПУБЛИКОВАНИЕ
Приказ Департамента архитектуры и градостроительства Воронежской области от 15.10.2021 № 45-01-04/1141
"Об утверждении правил землепользования и застройки Бычковского сельского поселения Петропавловского муниципального района Воронежской области"
(Зарегистрирован 16.11.2021 № 1089)
Номер опубликования: 3601202111190009
Дата опубликования: 19.11.2021
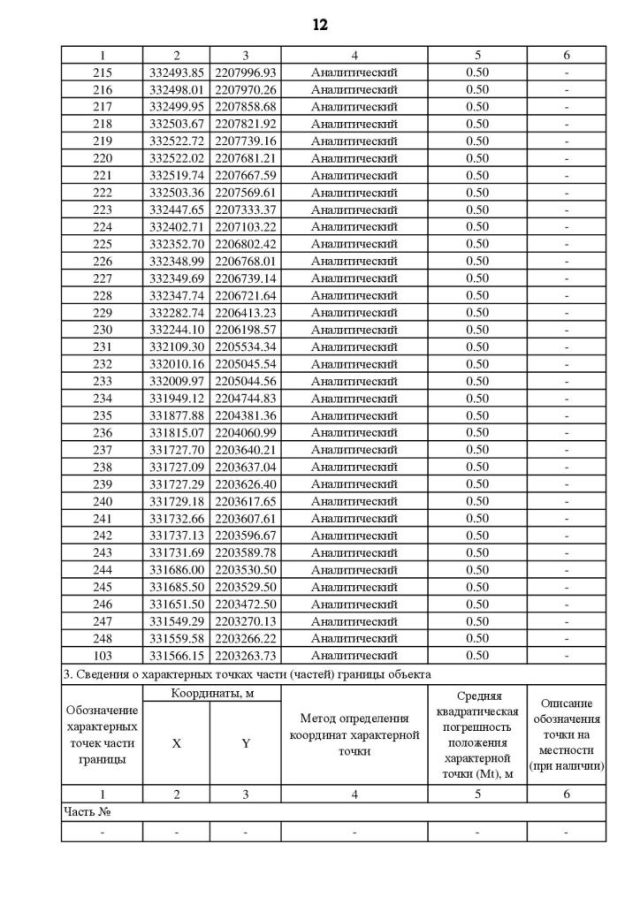
Страница №129 из 137:
Увеличить