Официальное опубликование правовых актов
ОФИЦИАЛЬНОЕ ОПУБЛИКОВАНИЕ
Приказ Департамента архитектуры и градостроительства Воронежской области от 18.10.2021 № 45-01-04/1150
"Об утверждении правил землепользования и застройки Новогольеланского сельского поселения Грибановского муниципального района Воронежской области"
(Зарегистрирован 16.11.2021 № 1087)
Номер опубликования: 3601202111190008
Дата опубликования: 19.11.2021
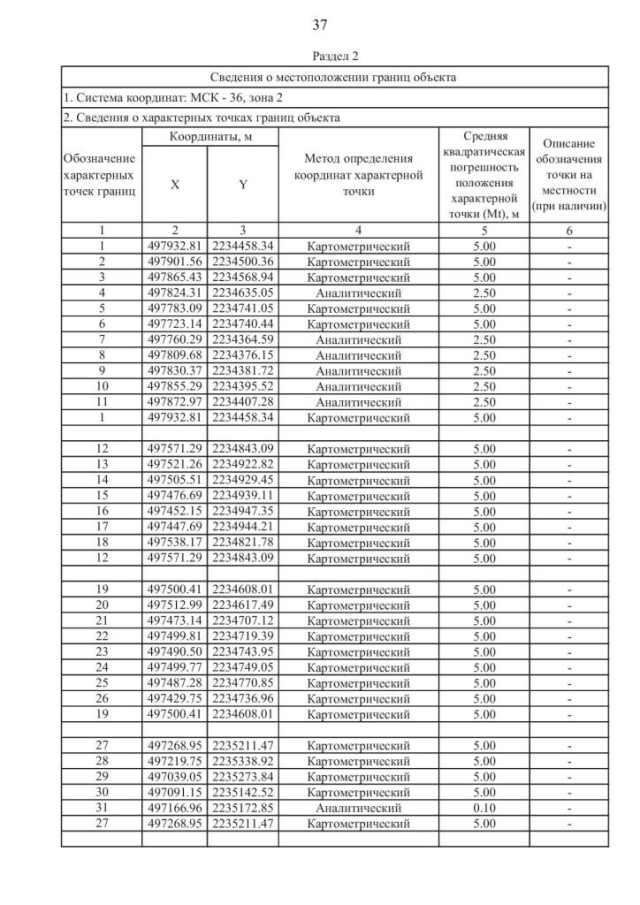
Страница №87 из 177:
Увеличить