Официальное опубликование правовых актов
ОФИЦИАЛЬНОЕ ОПУБЛИКОВАНИЕ
Приказ Департамента архитектуры и градостроительства Воронежской области от 22.10.2021 № 45-01-04/1186
"Об утверждении правил землепользования и застройки Луговского сельского поселения Богучарского муниципального района Воронежской области"
(Зарегистрирован 17.11.2021 № 1096)
Номер опубликования: 3601202111190005
Дата опубликования: 19.11.2021
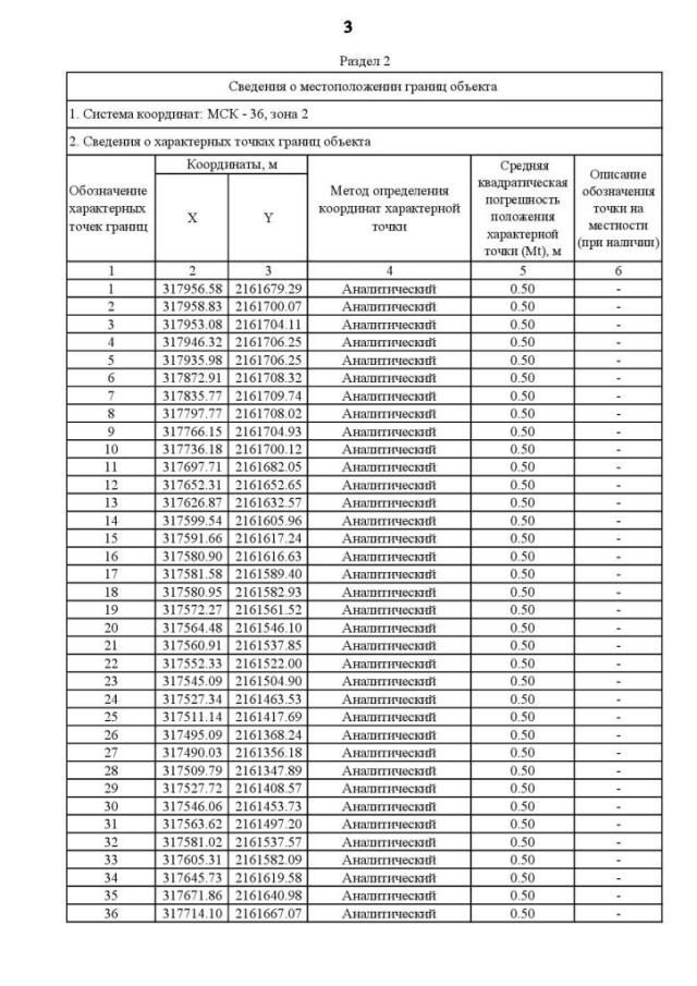
Страница №211 из 230:
Увеличить