Официальное опубликование правовых актов
ОФИЦИАЛЬНОЕ ОПУБЛИКОВАНИЕ
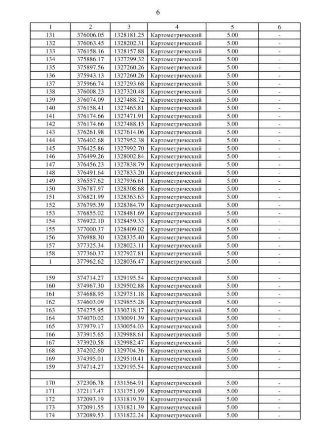
Приказ Департамента архитектуры и градостроительства Воронежской области от 13.10.2021 № 45-01-04/1129
"О внесении изменений в правила землепользования и застройки Подгоренского городского поселения Подгоренского муниципального района Воронежской области"
(Зарегистрирован 02.11.2021 № 998)
Номер опубликования: 3601202111110024
Дата опубликования: 11.11.2021
Страница №303 из 386:
Увеличить