Официальное опубликование правовых актов
ОФИЦИАЛЬНОЕ ОПУБЛИКОВАНИЕ
Приказ Департамента архитектуры и градостроительства Воронежской области от 18.10.2021 № 45-01-04/1149
"Об утверждении правил землепользования и застройки Костино-Отдельского сельского поселения Терновского муниципального района Воронежской области"
(Зарегистрирован 02.11.2021 № 1001)
Номер опубликования: 3601202111110023
Дата опубликования: 11.11.2021
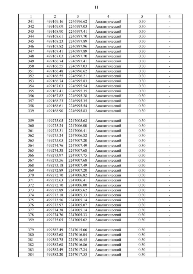
Страница №61 из 204:
Увеличить