Официальное опубликование правовых актов
ОФИЦИАЛЬНОЕ ОПУБЛИКОВАНИЕ
Приказ Департамента архитектуры и градостроительства Воронежской области от 11.10.2021 № 45-01-04/1113
"Об утверждении правил землепользования и застройки городского поселения – город Новохопёрск Новохопёрского муниципального района Воронежской области"
(Зарегистрирован 02.11.2021 № 992)
Номер опубликования: 3601202111100001
Дата опубликования: 10.11.2021
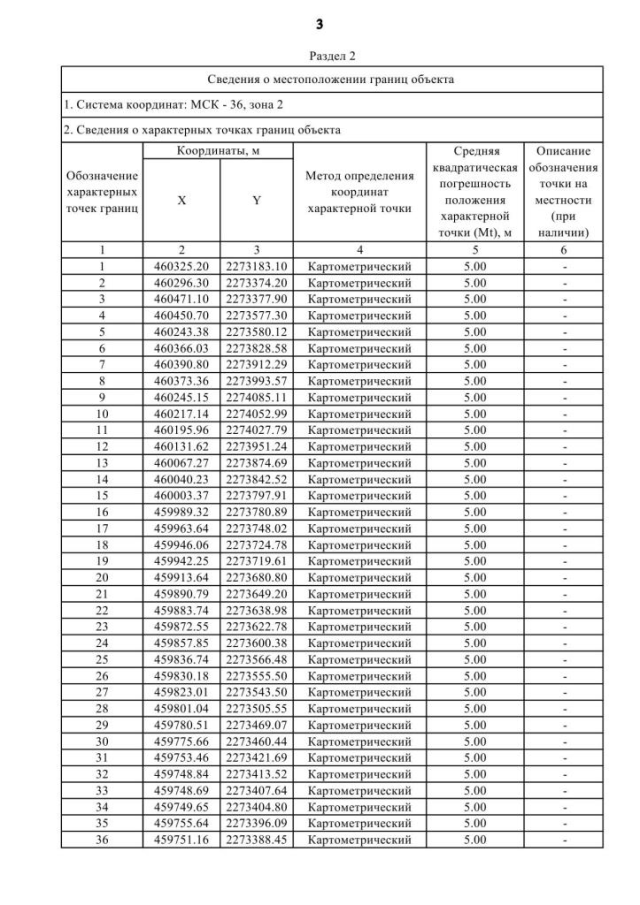
Страница №497 из 689:
Увеличить