Официальное опубликование правовых актов
ОФИЦИАЛЬНОЕ ОПУБЛИКОВАНИЕ
Приказ Департамента архитектуры и градостроительства Воронежской области от 14.10.2021 № 45-01-04/1130
"Об утверждении правил землепользования и застройки Кирсановского сельского поселения Грибановского муниципального района Воронежской области"
(Зарегистрирован 02.11.2021 № 997)
Номер опубликования: 3601202111090014
Дата опубликования: 09.11.2021
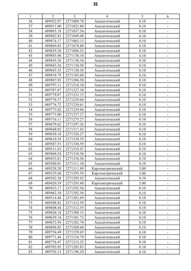
Страница №87 из 166:
Увеличить