Официальное опубликование правовых актов
ОФИЦИАЛЬНОЕ ОПУБЛИКОВАНИЕ
Приказ Департамента архитектуры и градостроительства Воронежской области от 12.10.2021 № 45-01-04/1127
"Об утверждении правил землепользования и застройки Братковского сельского поселения Терновского муниципального района Воронежской области"
(Зарегистрирован 02.11.2021 № 996)
Номер опубликования: 3601202111090013
Дата опубликования: 09.11.2021
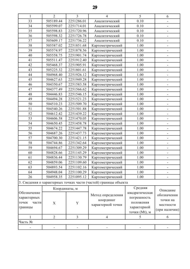
Страница №71 из 102:
Увеличить