Официальное опубликование правовых актов
ОФИЦИАЛЬНОЕ ОПУБЛИКОВАНИЕ
Приказ Департамента архитектуры и градостроительства Воронежской области от 14.10.2021 № 45-01-04/1140
"Об утверждении правил землепользования и застройки Платавского сельского поселения Репьёвского муниципального района Воронежской области"
(Зарегистрирован 02.11.2021 № 994)
Номер опубликования: 3601202111090006
Дата опубликования: 09.11.2021
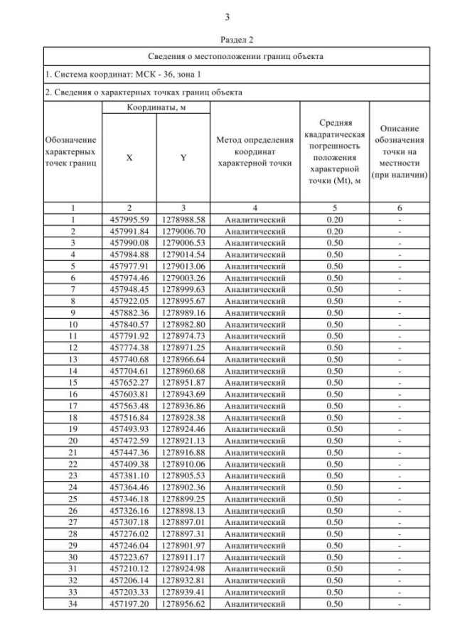
Страница №108 из 126:
Увеличить