Официальное опубликование правовых актов
ОФИЦИАЛЬНОЕ ОПУБЛИКОВАНИЕ
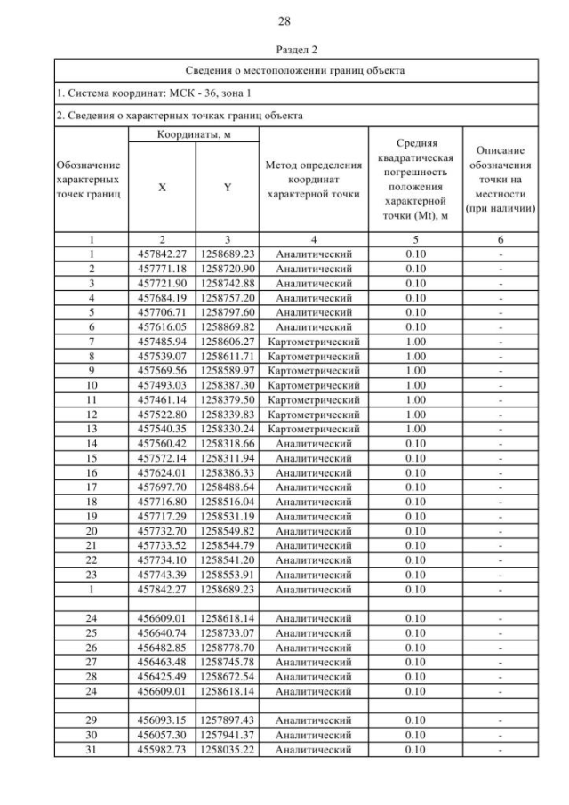
Приказ Департамента архитектуры и градостроительства Воронежской области от 14.10.2021 № 45-01-04/1131
"Об утверждении правил землепользования и застройки Осадчевского сельского поселения Репьёвского муниципального района Воронежской области"
(Зарегистрирован 02.11.2021 № 995)
Номер опубликования: 3601202111090003
Дата опубликования: 09.11.2021
Страница №78 из 144:
Увеличить